Chlortetracycline (CTC) Feed Grade is a broad-spectrum antimicrobial drug with a long history of use in animals which is usually administered in the feed for prophylactic purposes. It is classified as tetracycline antibiotics with good bacteriostatic effects against both gram positive and gram negative bacteria, mycoplasma, chlamydia, rickettsia, tubercle bacillus and virus. It is active in the inhibition and treatment of white dysentery, enteritis, pheumonia, typhoid, paratyphoid, cholera etc. in poultry and livestock. Chlortetracycline can also promote the permeation and absorption of the nourish elements, stimulating hypophysis to produce hormone and adjusting appetites. It results in obvious growth promotion for poultry, livestock and so on, also greatly increases the reward of feed.
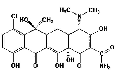
【molecular formula】C22H23CIN2O8
【molecular weight】 478.88
【structure】

No. of Manufacturer License for Veterinary Drug: (2021)05008
No. of Certificate of GMP for Animal Drugs: (2021)05017
Specifications: 10-25%, in powder or granule form
Analytical Method: by HPLC
Shelf Life: 18 months (1.5 year)
Packing: in bags 25kgs net each
Storage: sealed and stored in a cool and dry place without sunlight

Fax 86- 411.84801938
Email zx@jinhe.com.cn